Table of Contents
घातांक और करणी SSC GD MTS की शुरुआत कैसे करें?
घातांक और करणी SSC GD MTS की तैयारी के लिए आपको खुद से सवाल लगाना होगा और उसका हल निकालना होगा। पहले आप खुद प्रयत्न करेंगे और किसी कारण अगर आप हल नहीं निकाल पाते हैं तो आपको हल कैसे निकाला गया है उसे उत्तर में देखना होगा। चूँकि आपने घातांक और करणी के बेसिक को भली-भांति समझ लिया है और उन पर खुद कुछ नए सवालों का हल निकाला है, इस कारण हमें संपूर्णता विश्वास है कि जिन सवालों का आप हल नहीं निकाल पाए होंगे उत्तर में दिए गए उन सवालों का हल को देखकर आप संपूर्ण रूप से समझ जाएंगे की हल कैसे निकाला गया है।
हमने कोशिश किया है कि अब तक जितने सवाल पूछे गए हैं इन सारे सवालों को टेस्ट के रूप में समावेश करके आपके हाथों से हल करवाया जाए जिससे कि परीक्षा हॉल में आप संपूर्ण रूप से सफल रहे और जो कि यहां समय का बंधन है इस कारण परीक्षा हॉल में भी आप समय पर सवालों का जवाब दे सके। हमने प्रत्येक प्रैक्टिस सेट में 22 सवालों का समावेश किया हैऔर प्रत्येक सवाल के लिए 60 सेकंड का समय निर्धारण किया है अर्थात हर टेस्ट का समय सीमा 22 मिनट का है और यह समय का बंधन आपको वक्त पर सवालों को हल करने का शक्ति और मानसिकता प्रदान करेगा।
यहाँ 2-3 सवाल इकाई स्थान से सम्बंधित है इसकारण आपको फिर से रिफ्रेश करने लिए सम्बंधित वीडियो को पहले दिया गया है
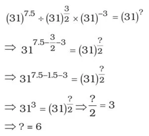
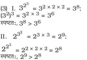
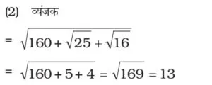
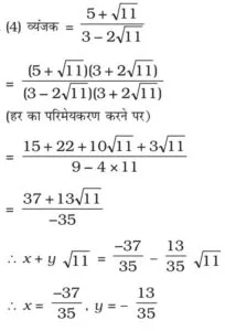
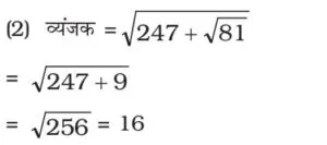
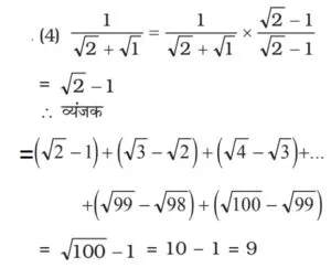
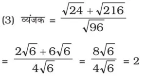
Specimen Questions


