Skip to content
DD Academy [education]
dd academy -your institution to understand, study and analyse
  • Log In

NTPC Algebra-1

Spread the love
NTPC Algebra-1

Table of Contents

  • NTPC Algebra-1 के मुख्य बिंदु

NTPC Algebra-1 के मुख्य बिंदु

Alg 1 1
Watch on YouTube
Alg 2
Watch on YouTube
Alg 3
Watch on YouTube
Alg 4
Watch on YouTube
Alg 5
Watch on YouTube
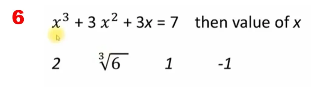
Alg 6
Watch on YouTube
Alg 7
Watch on YouTube
Alg 8
Watch on YouTube
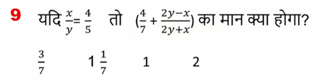
Alg 9
Watch on YouTube
Alg 10
Watch on YouTube
Copyright © 2026 DD Academy [education] — Primer WordPress theme by GoDaddy
Translate »