Skip to content
DD Academy [education]
dd academy -your institution to understand, study and analyse
  • Log In

NTPC Math Free Course-Ratio

Spread the love
NTPC Math Free Course-Ratio

Table of Contents

  • NTPC Math Free Course-Ratio पर पूछे गए सवाल

NTPC Math Free Course-Ratio पर पूछे गए सवाल

Rt 1
Watch on YouTube
Rt 2
Watch on YouTube
Rt 3
Watch on YouTube
Q4
Watch on YouTube
Q 5 1
Watch on YouTube
Q 6 2
Watch on YouTube
Q 7
Watch on YouTube
Q 8
Watch on YouTube
Q 9
Watch on YouTube
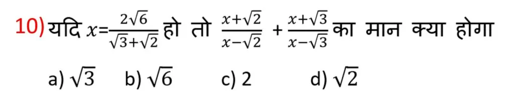
Q 10 1
Watch on YouTube

NTPC Course Home Page

Wiki

Copyright © 2026 DD Academy [education] — Primer WordPress theme by GoDaddy
Translate »