Table of Contents
Percentage Self Study -2 |हर कदम जीत के तरफ
Percentage Self Study -2 बेसिक से लेकर सारे Competitive Exam के लिए विशेष रुप से बनाया गया है कि कोई भी किसी भी प्रतियोगी परीक्षा के लिए खुद के बल बुते से तैयार हो सके।
Percentage Self Study- 2 किसी भी competition के लिए
प्रतिशत या Percentage Topic के उपर सवाल प्रत्येक competitive Exam में पूछे जाते हैं जैसे Railway में Group-C, Group-D, NTPC या SSC के CGL,CPO, CHSL, GDमें या UPSC के Prelims, CDS, NDA Exam में या राज्य स्तरीय परिक्षाएं जैसे Police, Patwari, Court, Village development officers, या बैंक एग्जाम्स जैसे Clerk, PO, SO ईत्यादि।
Percentage Self Study-2 आज शुरुआत कुछ बेसिक से जुड़े सवालों से
75 का 120% है?
250 का 150% है?
375
Video-1 for Explanation
1 क्विंटल, 11 किलोग्राम का कितना प्रतिशत है?
1 क्विंटल, 120 किलोग्राम का कितना प्रतिशत है?
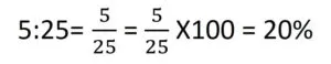
5:25 इस के बराबर होता है
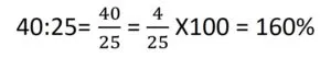
40:25 इस के बराबर होता है
3600 का 25% होता है?
3800 का 40% होता है?
एक का 1% किसके बराबर होगा
2 का 3% किसके बराबर होगा?
360 का 30% – 280 का 10% = 800 का ?%
360 का 50% – 280 का ?% = 800 का 5%
625 का कितना प्रतिशत =25 है?
600 का कितना प्रतिशत =24 है?
? का 12.5% = 700 का 35%
? का 25% = 700 का 35%
यदि 75 का x% = 9 हो तो x का मान कितना होगा?
यदि x% का 5 = 9 हो तो x का मान कितना होगा?
20 के 30% और 30 के 20% का योग कितना होगा
1)600 का 10%
2)1200 का 10%
3)1200 का 1%
4)600 का 1%
20 के 20% और 40 के 20% का योग कितना होगा
1)600 का 10%
2)1200 का 10%
3)120 1%
4)600 का 2%


















