Table of Contents
Simplification Railway में किस तरह के सवाल पूछे जाते हैं
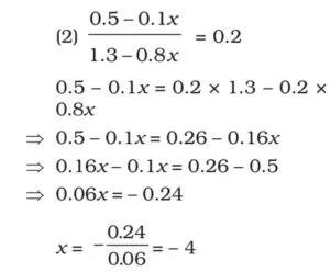
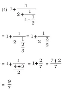
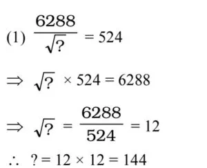
Simplification Railway विशेषकर RRB Gr D में मुख्यतः निम्न 20 से 22 तरह के सवाल पूछे जाते हैं और इस चैप्टर की तैयारी के लिए इन सारे Types पर महारत हासिल करना आवश्यक है। आइए पहले कुछ सवालों को देखकर पेटर्न को समझ लें।









Simplification Railway में विधिवत तैयारी के लिए सबसे पहले निम्नलिखित बेसिक मुद्दों पर पकड़ बनाने कि आवश्यकता है
Simplification Railway में कैलकुलेशन बेस उपर के सवालों को पहले देखें और सोचें कि उपरोक्त कैल्कुलेशन बेस सवालों को हल करने के लिए आपको क्या नहीं आता है; फिर नीचे दिए गए लिंक से जाकर भिडियो देखकर और वहाँ दिए गए प्रैक्टिस सेट से खुद को समर्थ बना लें।
Simplification Railway की तैयारी निम्न वीडियो से सीखकर करें
नीचे दिए गए 10 वीडियो जिसमें प्रत्येक वीडियो 2 से 5 मिनट का है आपको स्पस्ट रुप से बताता है कि सवालों को कैसे हल करना है। पहले वीडियो के देखे और नोट्स बनाएं फिर प्रैक्टिस सेट से खुद को परफेक्ट बनाएं
0%
6