Skip to content
DD Academy [education]
dd academy -your institution to understand, study and analyse
Log In
Media
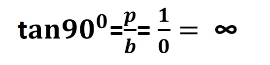
tan 90
September 8, 2022
ddsir
Post navigation
← tan 90
Copyright © 2026 DD Academy [education] — Primer WordPress theme by
GoDaddy
Translate »