Table of Contents
4th Day of Basic - आज क्या पढ़ेंगे?
समीकरण जानना क्यों आवश्यक है
समीकरण मे सबसे आवश्यक पक्षांतरण विधि को जानना होता है
समीकरण के गुण
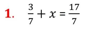
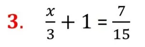
PDF से कुछ समीकरण के खुद से हल करें
कुछ और सवालों का हल करें
5.तीन लगातार पूर्णांक बढ़ते क्रम में लेकर उन्हें क्रमशः 2, 3 तथा 4 से गुणा कर योग करने पर योगफल 74 प्राप्त होता है। तीनों पूर्णांक ज्ञात कीजिए।
माना तीन लगातार पूर्णांक = x, (x+ 1) व (x+ 2)
प्रश्नानुसार, 2xX+3X(x + 1) +4X(x+2) = 74
या 2x+3x+3+4x +8=74
या 9x + 11 = 74
या 9x = 74 – 11
या 9x = 63
या x = 63/9=7
अतः अभीष्ट पूर्णांक = 7, 8 व 9 उत्तर
समीकरण कितने प्रकार के होते हैं?
समीकरण के हल करने के तरीके
दो चर समीकरण को कैसे हल करेंगे?
दो चर समीकरण पर कुछ सवाल
द्विघात समीकरण का हल कैसे करें?
All Basics
Math Arithmetics Basic (मैथ अंकगणित बेसिक)
Trigonometry Basic(त्रिकोणमिति बेसिक)
Algebra Basic(बीजगणित बेसिक)
Mensuration Basic (क्षेत्रमिति बेसिक)
Geometry Basic(ज्यामिति बेसिक)
अंकगणित चैप्टर
Time & Work (समय और काम)
Average (औसत)
Percentage (प्रतिशत)
Profit & Loss (लाभ और हानि)
Age (उम्र पर आधारित सवाल)
LCM & HCF (ल0स0 और म0स0 पर आधारित सवाल)
Number System (संख्या पद्धति)
Ratio (अनुपात)
Mixture & Alligation (मिश्रण)
Time & Distance (समय और दूरी)
Train (रेलगाड़ी पर आधारित सवाल)
Boat (नाव पर आधारित सवाल)
Statistics (सांख्यिकी)
Data Interpretation (सम्यकों की ब्याख्या)
Simple Interest (सरल ब्याज)
Compound Interest (चक्रवृद्धि ब्याज)
Partnership (साक्षेदारी)
Simplification (सरलीकरण)
Advance Math
Mensuration (क्षेत्रमिति)
Geometry(ज्यामिति)
Algebra(बीजगणित)
Trigonometry(त्रिकोणमिति)
General Awareness
Regular
NTPC Special
RPF
Railway Gr D
SSC GD
SSC CGL
SSC CHSL
SSC CPO
SSC Stenographer
SSC Multitasking
Police
Daroga
Forest Guard
BSF Constable
BSF Head Constable
ICG Navik
NDA
Patwari







